ထိုးဖောက်နိုင်သော Sulfobutyl Eta Cyclextrextrextrextrextrin သည်ဆေးဝါးကုသမှုထုတ်လုပ်မှုအတွက်အထူးသဖြင့်ထိုးထွင်းနိုင်သည်။ Xi'an Deli Biochemical သည်အရည်အသွေးမြင့်မားသောseborβcdကိုအရည်အသွေးနှင့်နည်းပညာအထောက်အပံ့များဖြင့်ထောက်ပံ့ပေးသည်။ နမူနာများနှင့်အသေးစိတ်အချက်အလက်များအတွက်ယနေ့ကျွန်ုပ်တို့ကိုဆက်သွယ်ပါ။
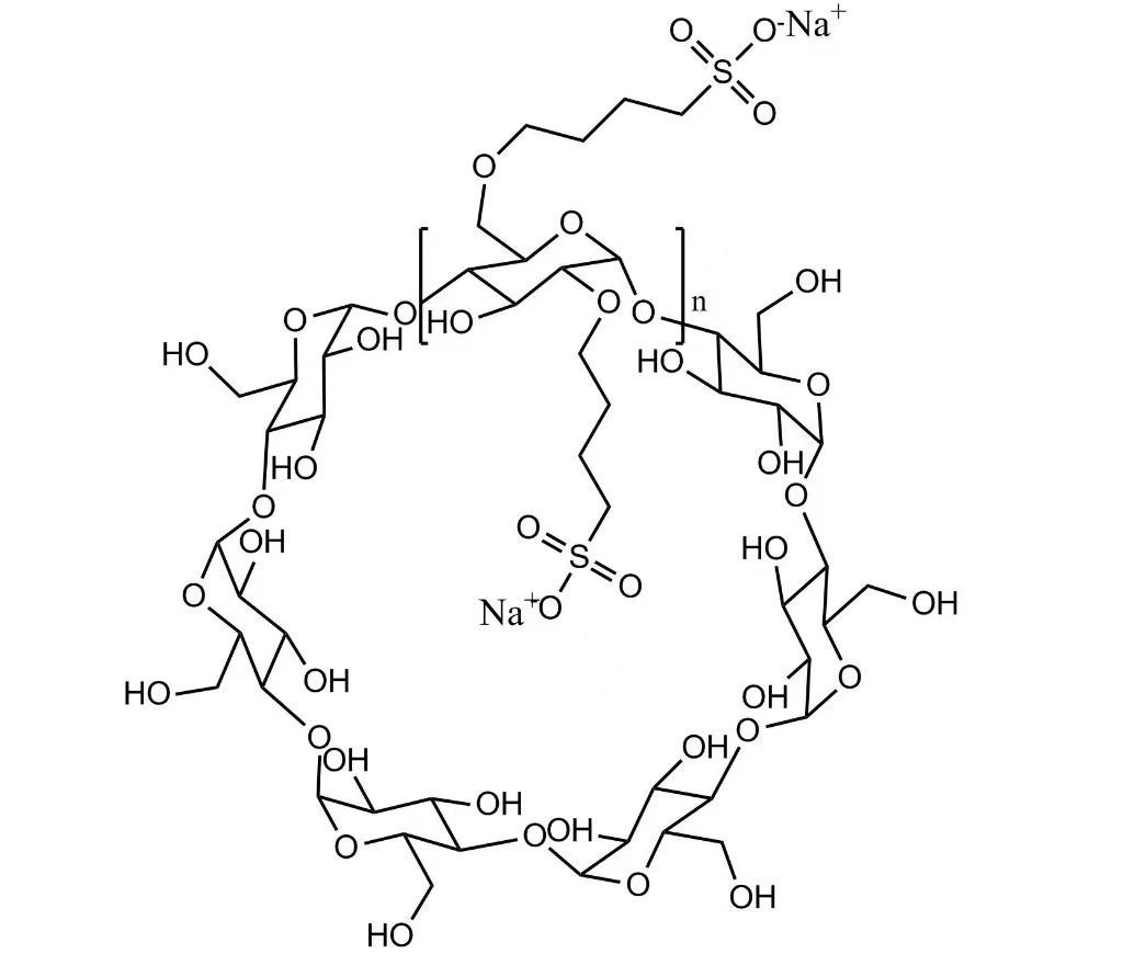
ထိုးသွင်းခြင်း sulfobutyl အီက beta cycclextrin(sbeβcd) သည်သန့်ရှင်းသောရေနှင့်အတူဒီဇိုင်းပြုလုပ်ထားသောရေနှင့်အတူသန့်ရှင်းသောစက်ဘီးစီးခြင်းထိုးဆေးနှင့် parenteral မူးယစ်ဆေးဝါးဖော်မြူလာ။ ၎င်းသည်ပျော်ဝင်နိုင်သောဆေးဝါးကုသမှုဆိုင်ရာဆေးဝါးများ (APIS) ၏သာယာပျော်ရွှင်သောဆေးဝါးပါဝင်ပစ္စည်းများ (APIS) ကိုပိုမိုပျော်ဝင်နိုင်သောဆေးဝါးများ (APIS) ကိုပိုမိုပျော်မွေ့နိုင်သည့်ပါဝင်မှုရှုပ်ထွေးမှုများကိုပိုမိုကောင်းမွန်စေသည်။
သွေးကြောသွင်းသူ,sbeβcdမိုးရွာသွန်းမှုကိုကာကွယ်ခြင်း, ၎င်း၏အလွန်ကောင်းမွန်သောရေအေးဆေးခြင်း, အဆိပ်အတောက်ဖြစ်စေခြင်းနှင့်ဇီဝခြင်းသည်သုတေသန, လက်တွေ့ဖွံ့ဖြိုးတိုးတက်မှုနှင့်စီးပွားဖြစ်ထိုးဆေးများအတွက်ပိုမိုနှစ်သက်သည်။
Xi'an Deli Biochemical စက်မှုလုပ်ငန်းကုမ္ပဏီလီမိတက်SBECD နှင့် HYDroxyPropypypypypypypypypypiLDAdadinal အပါအ 0 င်ဆိုင်အဖြတ်စာနှင့် HydroxyPropypypypypypypypypypiLDAdadins အပါအ 0 င် Cyclodextrin အနကျအဓိပ်ပါယျကို 26 နှစ်အတွင်းတည်ထောင်ခဲ့သည်။ ကုမ္ပဏီအနေဖြင့်ဆေးဝါး, နည်းပညာဆိုင်ရာအထောက်အပံ့များနှင့်အလှကုန်ပစ္စည်းများအတွက်တင်းကြပ်သောအရည်အသွေးထိန်းချုပ်ခြင်း, သင်၏ processional development ဖွံ့ဖြိုးတိုးတက်မှုကိုအထောက်အကူပြုလေ့လာခြင်း (COA), နည်းပညာဆိုင်ရာအချက်အလက်များနှင့်နမူနာအကဲဖြတ်ခြင်းလက်မှတ်များရရှိနိုင်ပါသည်။
နမူနာ, နည်းပညာဆိုင်ရာအချက်အလက်များသို့မဟုတ်ဈေးနှုန်းများအတွက်ကိုးကားရန်ယနေ့ကျွန်ုပ်တို့ကိုဆက်သွယ်ပါထိုးဖောက်နိုင်သော Sulfobutyl Etes Beta CyclodExtrin (Sbeβcd)သင်၏ထိုးသွင်းနိုင်သည့်ဖော်မြူလာများ၏ပျော်ဝင်မှု, တည်ငြိမ်မှုနှင့်စွမ်းဆောင်ရည်ကိုမြှင့်တင်ရန်။
