သော့ချက်စာလုံးများ-Betadex Sulfobutyl Ether Sodium
Betadex Sulfobutyl Ether Sodiumဆေးဝါးဓာတ်ဖြည့်ပစ္စည်းနည်းပညာကို တော်လှန်ခဲ့သည်။ ဤမြင့်မားသောရေတွင်ပျော်ဝင်နိုင်သော cyclodextrin ဆင်းသက်လာမှုသည် တက်ကြွသောဆေးဝါးပါဝင်ပစ္စည်းများ (APIs) ဖြင့် တည်ငြိမ်သောပါဝင်ပစ္စည်းများ (APIs) များကိုဖွဲ့စည်းနိုင်စေပြီး ပျော်ဝင်မှုအားနည်းခြင်းနှင့် မတည်ငြိမ်မှုများကြောင့် ယခင်ကကန့်သတ်ထားသောဆေးဝါးများကို ပုံသေဖော်နိုင်စေသည်။
ထိုးဆေးတွင် ဆေးပျော်ဝင်နိုင်မှု၊ ဇီဝရရှိနိုင်မှုနှင့် ဘေးကင်းမှုတို့ကို သိသာထင်ရှားစွာ မြှင့်တင်ပေးခြင်းဖြင့် Betadex Sulfobutyl Ether Sodium သည် ခေတ်မီဆေးဝါးပို့ဆောင်မှုစနစ်များတွင် အရေးပါသောအစိတ်အပိုင်းတစ်ခု ဖြစ်လာခဲ့သည်။ ၎င်း၏ထူးခြားသော မော်လီကျူးဖွဲ့စည်းပုံသည် ထိရောက်သော မော်လီကျူး ကက်ပ်စူလာဖြင့် hydrophobic ဆေးမော်လီကျူးများကို ဆေးခန်းတွင် အသုံးပြုနိုင်စေရန် ခွင့်ပြုပေးပါသည်။
မပျော်ဝင်နိုင်သော ဒြပ်ပေါင်းများသည် ဆေးဝါးပို့ဆောင်မှုစနစ်များကို ဆက်လက်စိန်ခေါ်နေပါသည်။ သမားရိုးကျဖော်မြူလာနည်းဗျူဟာများသည် လုံလောက်သောပျော်ဝင်မှု သို့မဟုတ် တည်ငြိမ်မှုရရှိရန် ပျက်ကွက်လေ့ရှိပြီး အလားအလာရှိသော ဆေးဝါးကိုယ်စားလှယ်အများအပြားသည် လူနာများထံသို့ မရောက်ရှိစေရန် တားဆီးပေးသည်။ ခေတ်မီဆေးဝါးသုတေသနသည် လူနာဘေးကင်းရေးကို ထိန်းသိမ်းထားစဉ်တွင် အဆိုပါကန့်သတ်ချက်များကို ကျော်လွှားရန် အဆင့်မြင့်ဓာတ်ပစ္စည်းများအပေါ် မှီခိုအားထားနေရပါသည်။

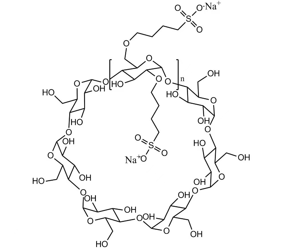
Sulfobutyl Ether cyclodextrinsulfobutyl အုပ်စုများကို beta-cyclodextrin ကျောရိုးပေါ်သို့ မိတ်ဆက်ပေးခြင်းဖြင့် ဖန်တီးထားသည့် anionic cyclodextrin ဆင်းသက်လာခြင်းဖြစ်သည်။ ဤဖွဲ့စည်းပုံဆိုင်ရာ ပြုပြင်မွမ်းမံမှုသည် မူလ cyclodextrins နှင့် နှိုင်းယှဉ်ပါက ရေပျော်ဝင်နိုင်စွမ်းကို သိသိသာသာ တိုးမြင့်စေသည်။
ဖြည့်စွက်ပစ္စည်းသည် ဆေးမော်လီကျူးများဖြင့် ပါ၀င်ခြင်းမရှိသော ပေါင်းစပ်ရှုပ်ထွေးမှုများကို ဖန်တီးသည်။ ဟိုက်ဒရိုဖီလစ် အပြင်ဘက်မျက်နှာပြင်သည် ရေပျော်ဝင်မှုကို ထိန်းသိမ်းထားသော်လည်း cyclodextrin ၏ hydrophobic အတွင်းအပေါက်သည် lipophilic APIs များကို လက်ခံထားသည်။ ဤအထုပ်အပိုးများသည် ဆေးဝါးဖော်စပ်မှုကို ပိုမိုကောင်းမွန်စေပြီး ဓာတုဗေဒပစ္စည်းပျက်စီးခြင်းမှ အထိခိုက်မခံသောဒြပ်ပေါင်းများကို ကာကွယ်ပေးသည်။
အစားထိုးမှုအဆင့်သည် ပျော်ဝင်ခြင်းထိရောက်မှုကို တိုက်ရိုက်လွှမ်းမိုးသည်။ ပိုမိုမြင့်မားသော အစားထိုးအဆင့်များသည် ပျော်ဝင်နိုင်စွမ်းကို ပိုမိုကောင်းမွန်စေသော်လည်း အကောင်းဆုံးစွမ်းဆောင်ရည်သည် ဘေးကင်းစွာဖြင့် ပျော်ဝင်နိုင်သောစွမ်းအားကို ဟန်ချက်ညီစေရန် လိုအပ်သည်။
သိပ္ပံနည်းကျလေ့လာမှုများက Betadex Sulfobutyl Ether Sodium သည် haemolytic လှုပ်ရှားမှုနည်းပါးပြီး သမားရိုးကျပျော်ဝင်ဆေးများစွာနှင့် နှိုင်းယှဉ်ပါက ကျောက်ကပ်စုစည်းမှုကို လျော့ကျစေပြီး၊ ၎င်းသည် ထပ်ခါတလဲလဲ parenteral စီမံခန့်ခွဲမှုအတွက် သင့်လျော်ကြောင်း သက်သေပြသည်။
မှိုသတ်ဆေးအများအပြားသည် ၎င်းတို့၏ ထိုးဆေးအသုံးပြုမှုကို ကန့်သတ်ထားသောကြောင့် ရေတွင်ပျော်ဝင်နိုင်မှု ညံ့ဖျင်းမှုကို ခံစားနေကြရသည်။ Betadex Sulfobutyl Ether Sodium သည် voriconazole နှင့် posaconazole ကဲ့သို့သော ဆေးဝါးများဖြင့် တည်ငြိမ်သော ရှုပ်ထွေးမှုများကို ဖြစ်ပေါ်စေပြီး ထိရောက်သော ထိုးဆေးဖော်မြူလာများကို ပံ့ပိုးပေးသည်။
ပျော်ဝင်နိုင်စွမ်းကို မြှင့်တင်ပေးသည့်အပြင်၊ ရှုပ်ထွေးမှုသည် pH ခံနိုင်ရည်ရှိမှုနှင့် သိုလှောင်မှုတည်ငြိမ်မှုကို တိုးမြှင့်ပေးကာ သိုလှောင်မှုသက်တမ်းကို သက်တမ်းတိုးကာ ထိုးဖောက်ဝင်ရောက်လာသော မှိုပိုးကူးစက်မှုများအတွက် ကုထုံးရလဒ်များကို ပိုမိုကောင်းမွန်စေသည်။
ဗိုင်းရပ်စ်ပိုးသတ်ဆေးများသည် parenteral ပေးပို့ခြင်းကိုကန့်သတ်သည့်ပျော်ဝင်မှုအတားအဆီးများကိုမကြာခဏကြုံတွေ့ရသည်။ Sulfobutyl ether cyclodextrin သည် APIs များ ပျက်စီးခြင်းနှင့် ထိန်းချုပ်ထားသော ထုတ်လွှတ်မှုကို ဖွင့်ပေးခြင်းဖြင့် တည်ငြိမ်သော ထိုးဆေးဖော်မြူလာများကို လုပ်ဆောင်ပေးသည်။
Remdesivir ဖော်မြူလာများ၏ အောင်မြင်မှုသည် ပြင်းထန်သောဗိုင်းရပ်စ်ကူးစက်မှုများကို ကုသရာတွင် လျင်မြန်ပြီး ယုံကြည်စိတ်ချရသော ဆေးဝါးပေးပို့မှုတွင် အရေးကြီးသော အရေးကြီးသည့်နေရာတွင် cyclodextrin-based solubilization ၏အရေးကြီးမှုကို မီးမောင်းထိုးပြသည်။
ကင်ဆာရောဂါရှင်များစွာသည် ရေတွင်ပျော်ဝင်နိုင်မှုနည်းပြီး ဆေးခန်းဖွံ့ဖြိုးမှုကို အဟန့်အတားဖြစ်စေသည်။ Betadex Sulfobutyl Ether Sodium သည် သင့်လျော်သော ဘေးကင်းမှု ပရိုဖိုင်ကို ထိန်းသိမ်းထားစဉ် ဤအစွမ်းထက်သော ဒြပ်ပေါင်းများကို ဖော်စပ်နိုင်စေပါသည်။
၎င်း၏တစ်ရှူးများစုပုံခြင်းနည်းပါးခြင်းနှင့် အဆိပ်သင့်မှုကို လျှော့ချခြင်းသည် ထပ်ခါတလဲလဲထိုးရန်လိုအပ်သော ကင်ဆာရောဂါကုထုံးများအတွက် အထူးတန်ဖိုးရှိပြီး ပိုမိုကောင်းမွန်သော ခံနိုင်ရည်ရှိသော ကုသရေးထိတွေ့မှုကို ပိုမိုကောင်းမွန်စေပါသည်။
အရေးပေါ် နှလုံးသွေးကြောဆိုင်ရာ စောင့်ရှောက်မှုသည် လျင်မြန်စွာ စတင်ခြင်းနှင့်အတူ ထိုးဆေးများပေါ်တွင် မှီခိုနေလေ့ရှိသည်။ ဤဖြည့်စွက်ပစ္စည်းသည် ညံ့ဖျင်းစွာပျော်ဝင်နိုင်သော cardioactive အေးဂျင့်များ၏ တည်ငြိမ်သောဖော်မြူလာများကို ခွင့်ပြုပေးသည်။
Betadex Sulfobutyl Ether Sodium ၏နိမ့်သော haemolytic လုပ်ဆောင်ချက်သည် haemolytic stress ကိုသည်းမခံနိုင်သော နှလုံးအလုပ်မလုပ်သောလူနာများအတွက် အထူးသင့်လျော်ပါသည်။
ကလေးနှင့် သက်ကြီးရွယ်အို ဝေဒနာရှင်များသည် ပါးစပ်ဖြင့် သောက်သုံးသော ပုံစံများဖြင့် စိန်ခေါ်မှုများကို မကြာခဏ ရင်ဆိုင်နေရသည်။ sulfobutyl ether cyclodextrin ကို အသုံးပြု၍ ထိုးဆေးနှင့် အရည်ဖော်မြူလာများသည် အသက်အုပ်စုများတစ်လျှောက် ယုံကြည်စိတ်ချရသော ဆေးဝါးများပေးပို့မှုကို ပံ့ပိုးပေးပါသည်။
Molecular encapsulation သည် မနှစ်မြို့ဖွယ် အရသာကို ဖုံးအုပ်ထားပြီး အထူးသဖြင့် ကလေးအထူးကုဖော်မြူလာများတွင် လူနာ၏လိုက်နာမှုကို ပိုမိုကောင်းမွန်စေသည်။
ရှားပါးရောဂါကုထုံးများတွင် ရှုပ်ထွေးသော ဓာတုဗေဒဂုဏ်သတ္တိများဖြင့် API များ ပါဝင်လေ့ရှိသည်။ Betadex Sulfobutyl Ether Sodium သည် ကျယ်ပြန့်သော ဖြည့်စွက်ဖြည့်စွက်မှု မလိုအပ်ဘဲ ပျော်ဝင်နိုင်မှု စိန်ခေါ်မှုများကို ကျော်လွှားရန် ကူညီပေးသည်။
၎င်း၏ လုံခြုံစိတ်ချရသော ပရိုဖိုင်နှင့် အရွယ်ပမာဏရှိသော ထုတ်လုပ်မှုသည် စည်းမျဉ်းစည်းကမ်းနှင့် ဖွံ့ဖြိုးတိုးတက်မှုဆိုင်ရာ အန္တရာယ်များကို လျှော့ချပေးကာ မိဘမဲ့ဆေးဝါးများ အရောင်းမြှင့်တင်မှုကို အရှိန်မြှင့်ပေးသည်။
Cyclodextrin encapsulation သည် ဓာတ်ပြုအုပ်စုများကို ရုပ်ပိုင်းဆိုင်ရာအကာအရံများဖြင့် hydrolysis၊ ဓာတ်တိုးခြင်းနှင့် photodegradation တို့မှ API များကို ကာကွယ်ပေးသည်။
ဤတည်ငြိမ်မှုမြှင့်တင်မှုသည် ကမ္ဘာလုံးဆိုင်ရာ ဖြန့်ဖြူးမှုကို ပံ့ပိုးပေးသည်၊ အထူးသဖြင့် အအေးကွင်းဆက်အခြေခံအဆောက်အအုံ အကန့်အသတ်ရှိသော ဒေသများတွင်ဖြစ်သည်။
Xi'an Deli Biochemical Industry Co., Ltd. သည် cyclodextrin ထုတ်လုပ်မှုတွင် 26 နှစ်ကျော် ကျွမ်းကျင်မှုကို ယူဆောင်လာသည်။ အသုတ်တိုင်းသည် အစားထိုးဒီဂရီ၊ အညစ်အကြေးများနှင့် endotoxins အတွက် ပြင်းထန်စွာ စမ်းသပ်ထားသည်။
Betadex Sulfobutyl Ether Sodium ၏ မက်ထရစ်တန်ချိန် 200 ထက် ကျော်လွန်သော နှစ်စဉ်ထုတ်လုပ်မှု စွမ်းရည်နှင့်အတူ၊ ကျွန်ုပ်တို့၏ အဆောက်အဦများသည် ဆေးဘက်ဆိုင်ရာနှင့် စီးပွားရေးဆိုင်ရာ အသုံးချမှုနှစ်ခုလုံးအတွက် တည်ငြိမ်ပြီး ရေရှည်ထောက်ပံ့မှုကို သေချာစေသည်။
မှန်ကန်သော ထုတ်လုပ်မှု လုပ်ငန်းစဉ်များသည် တစ်သုတ်မှတစ်သုတ် ကွဲပြားမှုကို လျှော့ချစေပြီး ဆေးဝါးဖောက်သည်များအား ကြံ့ခိုင်ပြီး မျိုးပွားနိုင်သော ဖော်မြူလာများကို ဒီဇိုင်းထုတ်နိုင်စေပါသည်။

ကျွန်ုပ်တို့၏ထုတ်ကုန်များသည် ကမ္ဘာ့စျေးကွက်များတစ်လျှောက် ဆေးဝါးထုတ်လုပ်သူများကို တသမတ်တည်းအရည်အသွေးနှင့် စည်းမျဉ်းစည်းကမ်းများယုံကြည်မှုပေးစွမ်းနိုင်သော အဓိကဆေးဝါးလိုအပ်ချက်များနှင့်ကိုက်ညီပါသည်။
သိပ္ပံနည်းကျစာပေများကို ချဲ့ထွင်ခြင်းနှင့် စည်းမျဥ်းစည်းကမ်းအတည်ပြုချက်များသည် Betadex Sulfobutyl Ether Sodium ကို ခေတ်မီဆေးဝါးပို့ဆောင်မှုစနစ်များတွင် ပိုမိုကျယ်ပြန့်စွာ လက်ခံကျင့်သုံးမှုကို ဆက်လက်ပံ့ပိုးပေးပါသည်။
ရှုပ်ထွေးသောဖွဲ့စည်းပုံ kinetics နှင့် thermodynamics တို့ကို အကောင်းဆုံးဖြစ်အောင်ပြုလုပ်ခြင်းသည် လိုချင်သောပျော်ဝင်မှုတိုးမြှင့်မှုနှင့် ဆေးထုတ်လွှတ်မှုပရိုဖိုင်များကိုရရှိရန်အတွက် မရှိမဖြစ်လိုအပ်ပါသည်။
ပေါင်းစပ်ရှုပ်ထွေးမှုများသည် API များကို တိကျစွာရေတွက်ရန် လိုက်လျောညီထွေရှိသော ခွဲခြမ်းစိတ်ဖြာနည်းများ လိုအပ်နိုင်သည်။ အတည်ပြုထားသော၊ သီးခြားခွဲခြမ်းစိတ်ဖြာမှုနည်းပညာများသည် အရေးကြီးပါသည်။
ဖော်မြူလာများစွာကို ပေါင်းစပ်အသုံးပြုသောအခါ လိုက်ဖက်ညီသောလေ့လာမှုများက ရေရှည်တည်မြဲမှုကို သေချာစေသည်။
မျိုးဗီဇကုထုံး၊ ဆဲလ်ကုထုံးနှင့် ပုဂ္ဂိုလ်ရေးသီးသန့်ဆေးဝါးများသည် cyclodextrin-based ပေးပို့မှုနည်းပညာများအတွက် အလားအလာရှိသောနေရာများကို ကိုယ်စားပြုသည်။
Cyclodextrin ၏ ဆင်းသက်လာမှုသည် ထိန်းချုပ်ထားသော ထုတ်လွှတ်မှုနှင့် တည်ငြိမ်မှု မြှင့်တင်မှုတို့ဖြင့် ပုံသေဆေးတွဲများကို အသုံးပြုနိုင်မည်ဖြစ်သည်။
နာနိုအမှုန်များနှင့် cyclodextrins ပေါင်းစပ်ထားသော ဟိုက်ဘရစ်စနစ်များသည် ပစ်မှတ်ထားသော မူးယစ်ဆေးပေးပို့မှုတွင် နယ်နိမိတ်အသစ်များကို ဖွင့်လှစ်ပေးပါသည်။
ဆေးဝါးဖွံ့ဖြိုးတိုးတက်မှု တိုးတက်လာသည်နှင့်အမျှ Betadex Sulfobutyl Ether Sodium သည် အလွန်ကောင်းမွန်သော ဘေးကင်းသော ပရိုဖိုင်ကို ထိန်းသိမ်းထားစဉ်တွင် ရှုပ်ထွေးသော ဖော်စပ်မှုဆိုင်ရာ စိန်ခေါ်မှုများကို ဆက်လက်ကိုင်တွယ်ဖြေရှင်းလျက်ရှိသည်။ ကုသရေးနယ်ပယ်များတစ်လျှောက် ၎င်း၏ ဘက်စုံစွမ်းဆောင်နိုင်မှုသည် မျိုးဆက်သစ်ဆေးဝါးပို့ဆောင်မှုစနစ်များအတွက် မရှိမဖြစ်လိုအပ်သော ဖြည့်စွက်ပစ္စည်းတစ်ခုဖြစ်စေသည်။
Q: ဘာတွေလုပ်တာလဲ။sulfobutyl ether cyclodextrinအခြားပျော်ဝင်နိုင်သော အေးဂျင့်များထက်သာလွန်ပါသလား။
A- ၎င်းသည် အဆိပ်သင့်မှု နည်းပါးခြင်း၊ သွေးပြန်ကြောခြင်း လျော့ကျခြင်း၊ ပြန်ပြောင်းနိုင်သော ရှုပ်ထွေးမှုများ နှင့် အော်ဂဲနစ်ပျော်ဝင်မှုများနှင့် surfactants များနှင့် နှိုင်းယှဉ်ပါက ဆေးဝါးတည်ငြိမ်မှုကို ပိုမိုကောင်းမွန်စေသည်။
မေး- အစားထိုးမှုအဆင့်က စွမ်းဆောင်ရည်အပေါ် ဘယ်လိုသက်ရောက်မှုရှိလဲ။
A- ပိုမိုမြင့်မားသောအစားထိုးမှုသည် ပျော်ဝင်နိုင်စွမ်းကို ပိုမိုကောင်းမွန်စေသည်၊ သို့သော် အကောင်းဆုံးစွမ်းဆောင်မှုမှာ ပျော်ဝင်ခြင်းထိရောက်မှုနှင့် ဘေးကင်းမှုကို ဟန်ချက်ညီစေရန် လိုအပ်သည်။
မေး- ပါးစပ်ဖော်စပ်ရာမှာ သုံးလို့ရလား။
ဖြေ- ဟုတ်ကဲ့၊ ထိုးဆေးအတွက် အဓိက ဒီဇိုင်းထုတ်ထားပေမယ့် ကုထုံးအကျိုးကျေးဇူးကြောင့် မျှတတဲ့အခါ ခံတွင်းဖော်မြူလာတွေမှာ ပျော်ဝင်မှုကို မြှင့်တင်ပေးနိုင်ပါတယ်။
Betadex Sulfobutyl Ether SodiumXi'an Deli Biochemical Industry Co., Ltd. မှ အဆင့်မြင့် ထိုးဆေးဖော်မြူလာများအတွက် ဘေးကင်းသော၊ တည်ငြိမ်ပြီး အရွယ်တင်နိုင်သော ဖြေရှင်းချက်တစ်ခု ပေးပါသည်။ တွင်ကျွန်ုပ်တို့ကိုဆက်သွယ်ပါ။xadl@xadl.comပိုမိုလေ့လာရန်။